
Identify an Organization’s Core Competencies
[fusion_builder_container type=”flex” hundred_percent=”no” equal_height_columns=”no” hide_on_mobile=”small-visibility,medium-visibility,large-visibility” background_position=”center center” background_repeat=”no-repeat” fade=”no” background_parallax=”none” parallax_speed=”0.3″ video_aspect_ratio=”16:9″ video_loop=”yes” video_mute=”yes” border_style=”solid”][fusion_builder_row][fusion_builder_column type=”1_1″ layout=”1_1″ background_position=”left top” border_style=”solid” border_position=”all” spacing=”yes” background_repeat=”no-repeat” margin_top=”0px” margin_bottom=”0px” animation_speed=”0.3″ animation_direction=”left” hide_on_mobile=”small-visibility,medium-visibility,large-visibility” center_content=”no” last=”true” hover_type=”none” first=”true” min_height=”” link=”” background_blend_mode=”overlay”][fusion_text rule_style=”default” hide_on_mobile=”small-visibility,medium-visibility,large-visibility” sticky_display=”normal,sticky” text_transform=”none” animation_direction=”left” animation_speed=”0.3″]
Core Competencies are what the organization does best and consist of the combined activities, operations, capabilities, and resources that distinguish the company from competitors. Their determination flows from the organization’s vision, mission, values, culture, and strategy.
An example of a core competency is “Extraordinary Customer Service”. If this is a competency deemed to be a key strength of the organization and required to carry out its business strategy, the competency needs to be translated into a format that becomes a standard for every employee to emulate. It needs to be built into every job competency model, as a measure of effective or superior performance.
The competency is so important to the organization that is “core” to the present and future success of it. Each core competency (skills, knowledge, and personal characteristics) and behaviors are required of the workforce and guide the selection and development of talent. Core competencies are the foundation of a competency framework for the organization.
Most of the competency models we have built for organizations identify 8-14 total competencies for a specific job or job family [Examples], of which 1-4 are organizational core competencies.
Here is an example of a competency, taken from our Competency Dictionary, that is frequently included as a core competency in models. It is also included in models that have not determined it to be an organizational core competency.
“Customer Orientation”
Definition: Demonstrated concern for satisfying one’s external and/or internal customers.
Behaviors:
- Lives the business mission: to be the preferred supplier through total customer satisfaction
- Quickly and effectively solves customer problems
- Talks to customers (internal or external) to find out what they want and how satisfied they are with what they are getting
- Lets customers know he/she is willing to work with them to meet their needs
- Finds ways to measure and track customer satisfaction
- Presents a cheerful, positive manner with customers
There are many ways to identify and write core competencies. Most include interviewing executives and directors on boards of directors, and/or conducting meetings that are similar to resource panels and expert panels used for building competency models.
A PROCESS & TOOL FOR DETERMINING THE CORE COMPETENCIES OF AN ORGANIZATION’S WORKFORCE
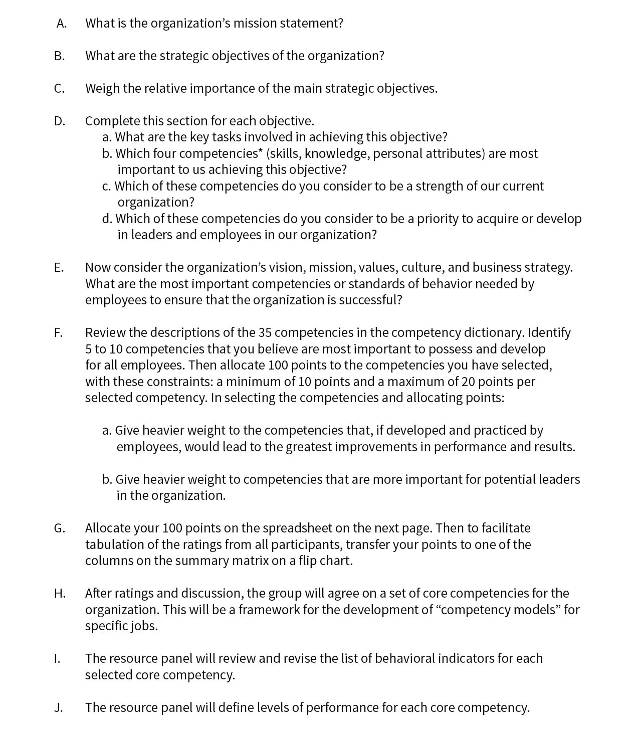
Regardless of the method used, the collection of relevant data to be considered in the process can be facilitated by the completion of a worksheet we have used in our practice. People who will be using the worksheet should also be provided with a competency dictionary listing competencies that can be chosen. The worksheets can be completed individually or in a group. These are some of the questions and instructions contained in the Core Competencies Analysis Worksheet:

Using the data from the worksheets to finalize a list of core competencies can be accomplished in several ways as described in the blog post General Approach for Analyzing Data to Build a Competency Model.
Another approach is to develop a competency model for the executive leadership group using a proven six-step process, but adding the task of identifying the core competencies for the organization. Of the 8-14 competencies that are demonstrated by superior or effective performing executives, which 1-4 competencies need to be demonstrated by all employees?
EXAMPLE: This is a client organization’s description of it’s core competencies and competency framework. >>>
_____________________________________________
THE STEPS THAT PRECEDE THE DETERMINATION OF CORE COMPETENCIES
Describing the Organization’s:
Vision
The Vision describes where the organization aspires to be upon achieving its mission. It concentrates on the future and gives the company direction. It is the future of the business, which then provides the purpose. Often it describes not just the future of the organization, but the future of the industry or society in which the organization hopes to effect change. ….More
Mission
The Mission Statement concentrates on the present; it defines the customer(s), critical processes and it informs employees about the desired level of performance. Key questions answered include: What do we do? Whom do we serve? How do we serve them? The mission statement drives the company. It is what you do, the core of the business, and from it come the objectives and finally, what it takes to reach those objectives. It also shapes your company’s culture. …. More
Values
Values are enduring, passionate, and distinctive core beliefs. They’re guiding principles that never change. Values are deeply held convictions, priorities, and underlying assumptions that influence attitudes and behaviors. They serve as its cultural cornerstones. They are the source of a company’s distinctiveness. Aspirational values are those that an organization needs to succeed in the future, but currently lacks. …. More
Culture
Culture is the character and personality of an organization. It’s what makes an organization unique and is the sum of its values, traditions, beliefs, interactions, behaviors, and attitudes. It is collection of business practices, processes, and interactions that make up the work environment. …. More
Strategy
A business strategy is the organization’s working plan for achieving its vision, prioritizing objectives, competing successfully, and optimizing financial performance with its business model. It is the sum of the actions a company intends to take to achieve long-term goals. It is about how resources should be allocated to accomplish the mission. A strategic plan provides the what, who, how, and why necessary to powerfully align action in organizations.
Related Blog Posts
How to Write a Vision, Mission and Values Statement
Mission & Vision Statements: What is the difference between mission, vision and values statements?
Tailor job competency models to your organization’s vision, mission, and shared values.
There is a lot of interest in being able to effectively describe an organization’s core competencies and the core competencies required of individuals in the organization. And there also seems to be different interpretations of what constitutes “core competencies”. Some view them as a total list of all competencies (competency dictionary) to select from in building competency models.
Suggested discussion topics for these blog posts:
- How do you and your organization view core competencies?
- What process have you used to identify and describe the core competencies in your organization?
- What has worked and what would you do differently if given the opportunity?
- Next steps? How will you apply the core competencies?
AVAILABLE: A SET OF CUSTOMIZABLE TOOLS FROM WORKITECT THAT HELP
ORGANIZATIONS SELECT, DEVELOP, AND RETAIN SUPERIOR TALENT
To learn more about our products and services, and how competencies and competency models can help your organization, call 800-870-9490, email edward.cripe@workitect.com or use the contact form at Workitect.
©️2025, Workitect, Inc.
“Genius is the ability to reduce the complicated to the simple.” C.W. Ceran
[/fusion_text][/fusion_builder_column][/fusion_builder_row][/fusion_builder_container]
Post Views: 1
Tags: business strategy, competencies, competency, competency dictionary, competency system, core competencies, framework, HR strategy, talent management, workforce planning
Related Posts
Recent Posts
In Good Times & Tough Times, You Need Competent People
People. Not money, not buildings, not tools. Competent people are your most valuable resource. And…
What is the One-Size-Fits-All Competency Model?
In the One-Size-Fits-All Approach, a competency model is developed for a broadly defined set of…
Is Your Performance Management System Working?
If it isn’t working, consider a… COMPETENCY-BASED PERFORMANCE MANAGEMENT SYSTEM Many organizations are becoming…
The New Reality: Career Streams vs. Career Ladders
Along with many other changes in how employee performance is managed, there is a…
Categories
Archives
- April 2026
- March 2026
- February 2026
- August 2025
- November 2018
- October 2018
- September 2018
- August 2018
- July 2018
- June 2018
- May 2018
- April 2018
- March 2018
- February 2018
- January 2018
- December 2017
- November 2017
- October 2017
- September 2017
- August 2017
- July 2017
- June 2017
- May 2017
- April 2017
- March 2017
- January 2017
- December 2016
- November 2016
- October 2016
- September 2016
- August 2016
- July 2016
- June 2016
- April 2016
- March 2016
- February 2016
- January 2016
- December 2015
- November 2015
- October 2015
- September 2015
- July 2015
- April 2015
- March 2015
- February 2015
- January 2015
- December 2014
- November 2014
- October 2014
- September 2014
- June 2014
- May 2014
- April 2014
- March 2014
- February 2014
- January 2014
- December 2013
- November 2013
- October 2013
- September 2013
- August 2013
- July 2013
- June 2013
- May 2013
- April 2013
- March 2013
- February 2013
- January 2013
- November 2012
- October 2012
- September 2012
- January 2012
Popular Searches
assessment
building
business strategy
career
Career Development
Career Planning
change management
competence
competencies
competency
competency dictionary
competency framework
competency library
competency modeling
competency models
competency system
Development
employee selection
framework
HR
HR strategy
human resources
interviewing
job
job competencies
leadership assessment development
Leadership Competencies
McBer
modeling
models
organization development
performance
performance management
productivity
resources
strategy
success
succession planning
talent
talent management
talent management system
talent strategies
technical competencies
training
workforce planning







